• 13.3 VC维

    13.3 VC维

    现实中的学习任务通常都是无限假设空间,例如d维实数域空间中所有的超平面等,因此要对此种情形进行可学习研究,需要度量假设空间的复杂度。这便是VC维(Vapnik-Chervonenkis dimension)的来源。在介绍VC维之前,需要引入两个概念:

    增长函数:对于给定数据集D,假设空间中的每个假设都能对数据集的样本赋予标记,因此一个假设对应着一种打标结果,不同假设对D的打标结果可能是相同的,也可能是不同的。随着样本数量m的增大,假设空间对样本集D的打标结果也会增多,增长函数则表示假设空间对m个样本的数据集D打标的最大可能结果数,因此增长函数描述了假设空间的表示能力与复杂度。

    11.png

    打散:例如对二分类问题来说,m个样本最多有2^m个可能结果,每种可能结果称为一种“对分”,若假设空间能实现数据集D的所有对分,则称数据集能被该假设空间打散。

    因此尽管假设空间是无限的,但它对特定数据集打标的不同结果数是有限的,假设空间的VC维正是它能打散的最大数据集大小。通常这样来计算假设空间的VC维:若存在大小为d的数据集能被假设空间打散,但不存在任何大小为d+1的数据集能被假设空间打散,则其VC维为d。

    12.png

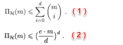
    同时书中给出了假设空间VC维与增长函数的两个关系:

    13.png

    直观来理解(1)式也十分容易: 首先假设空间的VC维是d,说明当m<=d时,增长函数与2^m相等,例如:当m=d时,右边的组合数求和刚好等于2^d;而当m=d+1时,右边等于2^(d+1)-1,十分符合VC维的定义,同时也可以使用数学归纳法证明;(2)式则是由(1)式直接推导得出。

    在有限假设空间中,根据Hoeffding不等式便可以推导得出学习算法的泛化误差界;但在无限假设空间中,由于假设空间的大小无法计算,只能通过增长函数来描述其复杂度,因此无限假设空间中的泛化误差界需要引入增长函数。

    14.png

    15.png

    上式给出了基于VC维的泛化误差界,同时也可以计算出满足条件需要的样本数(样本复杂度)。若学习算法满足经验风险最小化原则(ERM),即学习算法的输出假设h在数据集D上的经验误差最小,可证明:任何VC维有限的假设空间都是(不可知)PAC可学习的,换而言之:若假设空间的最小泛化误差为0即目标概念包含在假设空间中,则是PAC可学习,若最小泛化误差不为0,则称为不可知PAC可学习。