• 6.1 函数间隔与几何间隔
    • 6.1.1 函数间隔
    • 6.1.2 几何间隔

    6.1 函数间隔与几何间隔

    对于二分类学习,假设现在的数据是线性可分的,这时分类学习最基本的想法就是找到一个合适的超平面,该超平面能够将不同类别的样本分开,类似二维平面使用ax+by+c=0来表示,超平面实际上表示的就是高维的平面,如下图所示:

    1.png

    对数据点进行划分时,易知:当超平面距离与它最近的数据点的间隔越大,分类的鲁棒性越好,即当新的数据点加入时,超平面对这些点的适应性最强,出错的可能性最小。因此需要让所选择的超平面能够最大化这个间隔Gap(如下图所示), 常用的间隔定义有两种,一种称之为函数间隔,一种为几何间隔,下面将分别介绍这两种间隔,并对SVM为什么会选用几何间隔做了一些阐述。

    2.png

    6.1.1 函数间隔

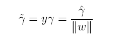
    在超平面w’x+b=0确定的情况下,|w’x+b|能够代表点x距离超平面的远近,易知:当w’x+b>0时,表示x在超平面的一侧(正类,类标为1),而当w’x+b<0时,则表示x在超平面的另外一侧(负类,类别为-1),因此(w’x+b)y 的正负性恰能表示数据点x是否被分类正确。于是便引出了*函数间隔的定义(functional margin):

    3.png

    而超平面(w,b)关于所有样本点(Xi,Yi)的函数间隔最小值则为超平面在训练数据集T上的函数间隔:

    4.png

    可以看出:这样定义的函数间隔在处理SVM上会有问题,当超平面的两个参数w和b同比例改变时,函数间隔也会跟着改变,但是实际上超平面还是原来的超平面,并没有变化。例如:w1x1+w2x2+w3x3+b=0其实等价于2w1x1+2w2x2+2w3x3+2b=0,但计算的函数间隔却翻了一倍。从而引出了能真正度量点到超平面距离的概念—几何间隔(geometrical margin)。

    6.1.2 几何间隔

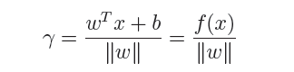
    几何间隔代表的则是数据点到超平面的真实距离,对于超平面w’x+b=0,w代表的是该超平面的法向量,设x为超平面外一点x在法向量w方向上的投影点,x与超平面的距离为r,则有x=x-r(w/||w||),又x在超平面上,即w’x+b=0,代入即可得:

    5.png

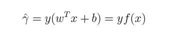
    为了得到r的绝对值,令r呈上其对应的类别y,即可得到几何间隔的定义:

    6.png

    从上述函数间隔与几何间隔的定义可以看出:实质上函数间隔就是|w’x+b|,而几何间隔就是点到超平面的距离。