• 4.4 连续值与缺失值处理

    4.4 连续值与缺失值处理

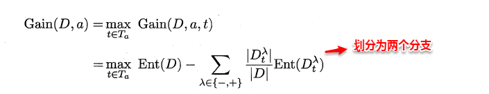
    对于连续值的属性,若每个取值作为一个分支则显得不可行,因此需要进行离散化处理,常用的方法为二分法,基本思想为:给定样本集D与连续属性α,二分法试图找到一个划分点t将样本集D在属性α上分为≤t与>t。

    1. * 首先将α的所有取值按升序排列,所有相邻属性的均值作为候选划分点(n-1个,n为α所有的取值数目)。
    2. * 计算每一个划分点划分集合D(即划分为两个分支)后的信息增益。
    3. * 选择最大信息增益的划分点作为最优划分点。

    11.png

    现实中常会遇到不完整的样本,即某些属性值缺失。有时若简单采取剔除,则会造成大量的信息浪费,因此在属性值缺失的情况下需要解决两个问题:(1)如何选择划分属性。(2)给定划分属性,若某样本在该属性上缺失值,如何划分到具体的分支上。假定为样本集中的每一个样本都赋予一个权重,根节点中的权重初始化为1,则定义:

    12.png

    对于(1):通过在样本集D中选取在属性α上没有缺失值的样本子集,计算在该样本子集上的信息增益,最终的信息增益等于该样本子集划分后信息增益乘以样本子集占样本集的比重。即:

    13.png

    对于(2):若该样本子集在属性α上的值缺失,则将该样本以不同的权重(即每个分支所含样本比例)划入到所有分支节点中。该样本在分支节点中的权重变为:

    14.png