SVM 回归
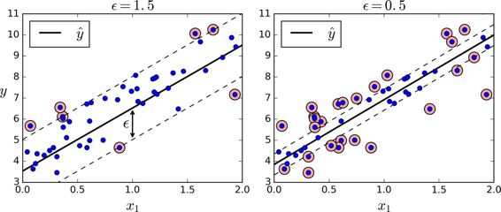
正如我们之前提到的,SVM 算法应用广泛:不仅仅支持线性和非线性的分类任务,还支持线性和非线性的回归任务。技巧在于逆转我们的目标:限制间隔违规的情况下,不是试图在两个类别之间找到尽可能大的“街道”(即间隔)。SVM 回归任务是限制间隔违规情况下,尽量放置更多的样本在“街道”上。“街道”的宽度由超参数ϵ
控制。图 5-10 显示了在一些随机生成的线性数据上,两个线性 SVM 回归模型的训练情况。一个有较大的间隔(ϵ=1.5
),另一个间隔较小(ϵ=0.5
)。
添加更多的数据样本在间隔之内并不会影响模型的预测,因此,这个模型认为是不敏感的(ϵ-insensitive)。
你可以使用 Scikit-Learn 的LinearSVR
类去实现线性 SVM 回归。下面的代码产生的模型在图 5-10 左图(训练数据需要被中心化和标准化)
from sklearn.svm import LinearSVR
svm_reg = LinearSVR(epsilon=1.5)
svm_reg.fit(X, y)
处理非线性回归任务,你可以使用核化的 SVM 模型。比如,图 5-11 显示了在随机二次方的训练集,使用二次方多项式核函数的 SVM 回归。左图是较小的正则化(即更大的C
值),右图则是更大的正则化(即小的C
值)
下面的代码的模型在图 5-11,其使用了 Scikit-Learn 的SVR
类(支持核技巧)。在回归任务上,SVR
类和SVC
类是一样的,并且LinearSVR
是和LinearSVC
等价。LinearSVR
类和训练集的大小成线性(就像LinearSVC
类),当训练集变大,SVR
会变的很慢(就像SVC
类)
from sklearn.svm import SVR
svm_poly_reg = SVR(kernel="poly", degree=2, C=100, epsilon=0.1)
svm_poly_reg.fit(X, y)
注
SVM 也可以用来做异常值检测,详情见 Scikit-Learn 文档