• 项目的管理
    • 使用特性分支进行工作
    • 采纳来自邮件的补丁
      • 使用 apply 命令应用补丁
      • 使用 am 命令应用补丁
    • 检出远程分支
    • 决断代码取舍
    • 代码集成
      • 合并流程
      • 大项目的合并流程
      • 衍合与挑拣(cherry-pick)的流程
    • 给发行版签名
    • 生成内部版本号
    • 准备发布
    • 制作简报

    项目的管理

    既然是相互协作,在贡献代码的同时,也免不了要维护管理自己的项目。像是怎么处理别人用 format-patch 生成的补丁,或是集成远端仓库上某个分支上的变化等等。但无论是管理代码仓库,还是帮忙审核收到的补丁,都需要同贡献者约定某种长期可持续的工作方式。

    使用特性分支进行工作

    如果想要集成新的代码进来,最好局限在特性分支上做。临时的特性分支可以让你随意尝试,进退自如。比如碰上无法正常工作的补丁,可以先搁在那边,直到有时间仔细核查修复为止。创建的分支可以用相关的主题关键字命名,比如 ruby_client 或者其它类似的描述性词语,以帮助将来回忆。Git 项目本身还时常把分支名称分置于不同命名空间下,比如 sc/ruby_client 就说明这是 sc 这个人贡献的。
    现在从当前主干分支为基础,新建临时分支:

    1. $ git branch sc/ruby_client master

    另外,如果你希望立即转到分支上去工作,可以用 checkout -b

    1. $ git checkout -b sc/ruby_client master

    好了,现在已经准备妥当,可以试着将别人贡献的代码合并进来了。之后评估一下有没有问题,最后再决定是不是真的要并入主干。

    采纳来自邮件的补丁

    如果收到一个通过电邮发来的补丁,你应该先把它应用到特性分支上进行评估。有两种应用补丁的方法:git apply 或者 git am

    使用 apply 命令应用补丁

    如果收到的补丁文件是用 git diff 或由其它 Unix 的 diff 命令生成,就该用 git apply 命令来应用补丁。假设补丁文件存在 /tmp/patch-ruby-client.patch,可以这样运行:

    1. $ git apply /tmp/patch-ruby-client.patch

    这会修改当前工作目录下的文件,效果基本与运行 patch -p1 打补丁一样,但它更为严格,且不会出现混乱。如果是 git diff 格式描述的补丁,此命令还会相应地添加,删除,重命名文件。当然,普通的 patch 命令是不会这么做的。另外请注意,git apply 是一个事务性操作的命令,也就是说,要么所有补丁都打上去,要么全部放弃。所以不会出现 patch 命令那样,一部分文件打上了补丁而另一部分却没有,这样一种不上不下的修订状态。所以总的来说,git apply 要比 patch 严谨许多。因为仅仅是更新当前的文件,所以此命令不会自动生成提交对象,你得手工缓存相应文件的更新状态并执行提交命令。

    在实际打补丁之前,可以先用 git apply —check 查看补丁是否能够干净顺利地应用到当前分支中:

    1. $ git apply --check 0001-seeing-if-this-helps-the-gem.patch
    2. error: patch failed: ticgit.gemspec:1
    3. error: ticgit.gemspec: patch does not apply

    如果没有任何输出,表示我们可以顺利采纳该补丁。如果有问题,除了报告错误信息之外,该命令还会返回一个非零的状态,所以在 shell 脚本里可用于检测状态。

    使用 am 命令应用补丁

    如果贡献者也用 Git,且擅于制作 format-patch 补丁,那你的合并工作将会非常轻松。因为这些补丁中除了文件内容差异外,还包含了作者信息和提交消息。所以请鼓励贡献者用 format-patch 生成补丁。对于传统的 diff 命令生成的补丁,则只能用 git apply 处理。

    对于 format-patch 制作的新式补丁,应当使用 git am 命令。从技术上来说,git am 能够读取 mbox 格式的文件。这是种简单的纯文本文件,可以包含多封电邮,格式上用 From 加空格以及随便什么辅助信息所组成的行作为分隔行,以区分每封邮件,就像这样:

    1. From 330090432754092d704da8e76ca5c05c198e71a8 Mon Sep 17 00:00:00 2001
    2. From: Jessica Smith <jessica@example.com>
    3. Date: Sun, 6 Apr 2008 10:17:23 -0700
    4. Subject: [PATCH 1/2] add limit to log function
    5. Limit log functionality to the first 20

    这是 format-patch 命令输出的开头几行,也是一个有效的 mbox 文件格式。如果有人用 git send-email 给你发了一个补丁,你可以将此邮件下载到本地,然后运行 git am 命令来应用这个补丁。如果你的邮件客户端能将多封电邮导出为 mbox 格式的文件,就可以用 git am 一次性应用所有导出的补丁。

    如果贡献者将 format-patch 生成的补丁文件上传到类似 Request Ticket 一样的任务处理系统,那么可以先下载到本地,继而使用 git am 应用该补丁:

    1. $ git am 0001-limit-log-function.patch
    2. Applying: add limit to log function

    你会看到它被干净地应用到本地分支,并自动创建了新的提交对象。作者信息取自邮件头 FromDate,提交消息则取自 Subject 以及正文中补丁之前的内容。来看具体实例,采纳之前展示的那个 mbox 电邮补丁后,最新的提交对象为:

    1. $ git log --pretty=fuller -1
    2. commit 6c5e70b984a60b3cecd395edd5b48a7575bf58e0
    3. Author: Jessica Smith <jessica@example.com>
    4. AuthorDate: Sun Apr 6 10:17:23 2008 -0700
    5. Commit: Scott Chacon <schacon@gmail.com>
    6. CommitDate: Thu Apr 9 09:19:06 2009 -0700
    7. add limit to log function
    8. Limit log functionality to the first 20

    Commit 部分显示的是采纳补丁的人,以及采纳的时间。而 Author 部分则显示的是原作者,以及创建补丁的时间。

    有时,我们也会遇到打不上补丁的情况。这多半是因为主干分支和补丁的基础分支相差太远,但也可能是因为某些依赖补丁还未应用。这种情况下,git am 会报错并询问该怎么做:

    1. $ git am 0001-seeing-if-this-helps-the-gem.patch
    2. Applying: seeing if this helps the gem
    3. error: patch failed: ticgit.gemspec:1
    4. error: ticgit.gemspec: patch does not apply
    5. Patch failed at 0001.
    6. When you have resolved this problem run "git am --resolved".
    7. If you would prefer to skip this patch, instead run "git am --skip".
    8. To restore the original branch and stop patching run "git am --abort".

    Git 会在有冲突的文件里加入冲突解决标记,这同合并或衍合操作一样。解决的办法也一样,先编辑文件消除冲突,然后暂存文件,最后运行 git am —resolved 提交修正结果:

    1. $ (fix the file)
    2. $ git add ticgit.gemspec
    3. $ git am --resolved
    4. Applying: seeing if this helps the gem

    如果想让 Git 更智能地处理冲突,可以用 -3 选项进行三方合并。如果当前分支未包含该补丁的基础代码或其祖先,那么三方合并就会失败,所以该选项默认为关闭状态。一般来说,如果该补丁是基于某个公开的提交制作而成的话,你总是可以通过同步来获取这个共同祖先,所以用三方合并选项可以解决很多麻烦:

    1. $ git am -3 0001-seeing-if-this-helps-the-gem.patch
    2. Applying: seeing if this helps the gem
    3. error: patch failed: ticgit.gemspec:1
    4. error: ticgit.gemspec: patch does not apply
    5. Using index info to reconstruct a base tree...
    6. Falling back to patching base and 3-way merge...
    7. No changes -- Patch already applied.

    像上面的例子,对于打过的补丁我又再打一遍,自然会产生冲突,但因为加上了 -3 选项,所以它很聪明地告诉我,无需更新,原有的补丁已经应用。

    对于一次应用多个补丁时所用的 mbox 格式文件,可以用 am 命令的交互模式选项 -i,这样就会在打每个补丁前停住,询问该如何操作:

    1. $ git am -3 -i mbox
    2. Commit Body is:
    3. --------------------------
    4. seeing if this helps the gem
    5. --------------------------
    6. Apply? [y]es/[n]o/[e]dit/[v]iew patch/[a]ccept all

    在多个补丁要打的情况下,这是个非常好的办法,一方面可以预览下补丁内容,同时也可以有选择性的接纳或跳过某些补丁。

    打完所有补丁后,如果测试下来新特性可以正常工作,那就可以安心地将当前特性分支合并到长期分支中去了。

    检出远程分支

    如果贡献者有自己的 Git 仓库,并将修改推送到此仓库中,那么当你拿到仓库的访问地址和对应分支的名称后,就可以加为远程分支,然后在本地进行合并。

    比如,Jessica 发来一封邮件,说在她代码库中的 ruby-client 分支上已经实现了某个非常棒的新功能,希望我们能帮忙测试一下。我们可以先把她的仓库加为远程仓库,然后抓取数据,完了再将她所说的分支检出到本地来测试:

    1. $ git remote add jessica git://github.com/jessica/myproject.git
    2. $ git fetch jessica
    3. $ git checkout -b rubyclient jessica/ruby-client

    若是不久她又发来邮件,说还有个很棒的功能实现在另一分支上,那我们只需重新抓取下最新数据,然后检出那个分支到本地就可以了,无需重复设置远程仓库。

    这种做法便于同别人保持长期的合作关系。但前提是要求贡献者有自己的服务器,而我们也需要为每个人建一个远程分支。有些贡献者提交代码补丁并不是很频繁,所以通过邮件接收补丁效率会更高。同时我们自己也不会希望建上百来个分支,却只从每个分支取一两个补丁。但若是用脚本程序来管理,或直接使用代码仓库托管服务,就可以简化此过程。当然,选择何种方式取决于你和贡献者的喜好。

    使用远程分支的另外一个好处是能够得到提交历史。不管代码合并是不是会有问题,至少我们知道该分支的历史分叉点,所以默认会从共同祖先开始自动进行三方合并,无需 -3 选项,也不用像打补丁那样祈祷存在共同的基准点。

    如果只是临时合作,只需用 git pull 命令抓取远程仓库上的数据,合并到本地临时分支就可以了。一次性的抓取动作自然不会把该仓库地址加为远程仓库。

    1. $ git pull git://github.com/onetimeguy/project.git
    2. From git://github.com/onetimeguy/project
    3. * branch HEAD -> FETCH_HEAD
    4. Merge made by recursive.

    决断代码取舍

    现在特性分支上已合并好了贡献者的代码,是时候决断取舍了。本节将回顾一些之前学过的命令,以看清将要合并到主干的是哪些代码,从而理解它们到底做了些什么,是否真的要并入。

    一般我们会先看下,特性分支上都有哪些新增的提交。比如在 contrib 特性分支上打了两个补丁,仅查看这两个补丁的提交信息,可以用 —not 选项指定要屏蔽的分支 master,这样就会剔除重复的提交历史:

    1. $ git log contrib --not master
    2. commit 5b6235bd297351589efc4d73316f0a68d484f118
    3. Author: Scott Chacon <schacon@gmail.com>
    4. Date: Fri Oct 24 09:53:59 2008 -0700
    5. seeing if this helps the gem
    6. commit 7482e0d16d04bea79d0dba8988cc78df655f16a0
    7. Author: Scott Chacon <schacon@gmail.com>
    8. Date: Mon Oct 22 19:38:36 2008 -0700
    9. updated the gemspec to hopefully work better

    还可以查看每次提交的具体修改。请牢记,在 git log 后加 -p 选项将展示每次提交的内容差异。

    如果想看当前分支同其他分支合并时的完整内容差异,有个小窍门:

    1. $ git diff master

    虽然能得到差异内容,但请记住,结果有可能和我们的预期不同。一旦主干 master 在特性分支创建之后有所修改,那么通过 diff 命令来比较的,是最新主干上的提交快照。显然,这不是我们所要的。比方在 master 分支中某个文件里添了一行,然后运行上面的命令,简单的比较最新快照所得到的结论只能是,特性分支中删除了这一行。

    这个很好理解:如果 master 是特性分支的直接祖先,不会产生任何问题;如果它们的提交历史在不同的分叉上,那么产生的内容差异,看起来就像是增加了特性分支上的新代码,同时删除了 master 分支上的新代码。

    实际上我们真正想要看的,是新加入到特性分支的代码,也就是合并时会并入主干的代码。所以,准确地讲,我们应该比较特性分支和它同 master 分支的共同祖先之间的差异。

    我们可以手工定位它们的共同祖先,然后与之比较:

    1. $ git merge-base contrib master
    2. 36c7dba2c95e6bbb78dfa822519ecfec6e1ca649
    3. $ git diff 36c7db

    但这么做很麻烦,所以 Git 提供了便捷的 语法。对于 diff 命令,可以把 加在原始分支(拥有共同祖先)和当前分支之间:

    1. $ git diff master...contrib

    现在看到的,就是实际将要引入的新代码。这是一个非常有用的命令,应该牢记。

    代码集成

    一旦特性分支准备停当,接下来的问题就是如何集成到更靠近主线的分支中。此外还要考虑维护项目的总体步骤是什么。虽然有很多选择,不过我们这里只介绍其中一部分。

    合并流程

    一般最简单的情形,是在 master 分支中维护稳定代码,然后在特性分支上开发新功能,或是审核测试别人贡献的代码,接着将它并入主干,最后删除这个特性分支,如此反复。来看示例,假设当前代码库中有两个分支,分别为 ruby_clientphp_client,如图 5-19 所示。然后先把 ruby_client 合并进主干,再合并 php_client,最后的提交历史如图 5-20 所示。

    项目的管理 - 图1

    图 5-19. 多个特性分支

    项目的管理 - 图2

    图 5-20. 合并特性分支之后

    这是最简单的流程,所以在处理大一些的项目时可能会有问题。

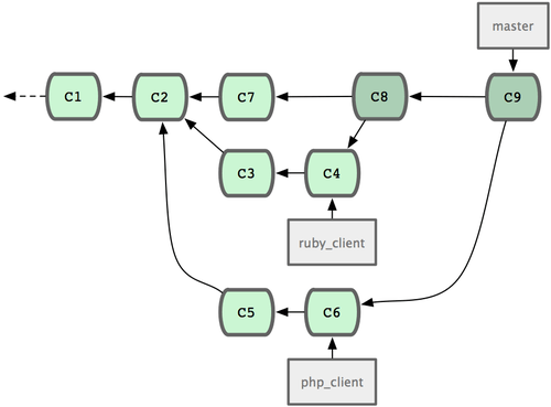
    对于大型项目,至少需要维护两个长期分支 masterdevelop。新代码(图 5-21 中的 ruby_client)将首先并入 develop 分支(图 5-22 中的 C8),经过一个阶段,确认 develop 中的代码已稳定到可发行时,再将 master 分支快进到稳定点(图 5-23 中的 C8)。而平时这两个分支都会被推送到公开的代码库。

    项目的管理 - 图3

    图 5-21. 特性分支合并前

    项目的管理 - 图4

    图 5-22. 特性分支合并后

    项目的管理 - 图5

    图 5-23. 特性分支发布后

    这样,在人们克隆仓库时就有两种选择:既可检出最新稳定版本,确保正常使用;也能检出开发版本,试用最前沿的新特性。
    你也可以扩展这个概念,先将所有新代码合并到临时特性分支,等到该分支稳定下来并通过测试后,再并入 develop 分支。然后,让时间检验一切,如果这些代码确实可以正常工作相当长一段时间,那就有理由相信它已经足够稳定,可以放心并入主干分支发布。

    大项目的合并流程

    Git 项目本身有四个长期分支:用于发布的 master 分支、用于合并基本稳定特性的 next 分支、用于合并仍需改进特性的 pu 分支(pu 是 proposed updates 的缩写),以及用于除错维护的 maint 分支(maint 取自 maintenance)。维护者可以按照之前介绍的方法,将贡献者的代码引入为不同的特性分支(如图 5-24 所示),然后测试评估,看哪些特性能稳定工作,哪些还需改进。稳定的特性可以并入 next 分支,然后再推送到公共仓库,以供其他人试用。

    项目的管理 - 图6

    图 5-24. 管理复杂的并行贡献

    仍需改进的特性可以先并入 pu 分支。直到它们完全稳定后再并入 master。同时一并检查下 next 分支,将足够稳定的特性也并入 master。所以一般来说,master 始终是在快进,next 偶尔做下衍合,而 pu 则是频繁衍合,如图 5-25 所示:

    项目的管理 - 图7

    图 5-25. 将特性并入长期分支

    并入 master 后的特性分支,已经无需保留分支索引,放心删除好了。Git 项目还有一个 maint 分支,它是以最近一次发行版为基础分化而来的,用于维护除错补丁。所以克隆 Git 项目仓库后会得到这四个分支,通过检出不同分支可以了解各自进展,或是试用前沿特性,或是贡献代码。而维护者则通过管理这些分支,逐步有序地并入第三方贡献。

    衍合与挑拣(cherry-pick)的流程

    一些维护者更喜欢衍合或者挑拣贡献者的代码,而不是简单的合并,因为这样能够保持线性的提交历史。如果你完成了一个特性的开发,并决定将它引入到主干代码中,你可以转到那个特性分支然后执行衍合命令,好在你的主干分支上(也可能是develop分支之类的)重新提交这些修改。如果这些代码工作得很好,你就可以快进master分支,得到一个线性的提交历史。

    另一个引入代码的方法是挑拣。挑拣类似于针对某次特定提交的衍合。它首先提取某次提交的补丁,然后试着应用在当前分支上。如果某个特性分支上有多个commits,但你只想引入其中之一就可以使用这种方法。也可能仅仅是因为你喜欢用挑拣,讨厌衍合。假设你有一个类似图 5-26 的工程。

    项目的管理 - 图8

    图 5-26. 挑拣(cherry-pick)之前的历史

    如果你希望拉取e43a6到你的主干分支,可以这样:

    1. $ git cherry-pick e43a6fd3e94888d76779ad79fb568ed180e5fcdf
    2. Finished one cherry-pick.
    3. [master]: created a0a41a9: "More friendly message when locking the index fails."
    4. 3 files changed, 17 insertions(+), 3 deletions(-)

    这将会引入e43a6的代码,但是会得到不同的SHA-1值,因为应用日期不同。现在你的历史看起来像图 5-27.

    项目的管理 - 图9

    图 5-27. 挑拣(cherry-pick)之后的历史

    现在,你可以删除这个特性分支并丢弃你不想引入的那些commit。

    给发行版签名

    你可以删除上次发布的版本并重新打标签,也可以像第二章所说的那样建立一个新的标签。如果你决定以维护者的身份给发行版签名,应该这样做:

    1. $ git tag -s v1.5 -m 'my signed 1.5 tag'
    2. You need a passphrase to unlock the secret key for
    3. user: "Scott Chacon <schacon@gmail.com>"
    4. 1024-bit DSA key, ID F721C45A, created 2009-02-09

    完成签名之后,如何分发PGP公钥(public key)是个问题。(译者注:分发公钥是为了验证标签)。还好,Git的设计者想到了解决办法:可以把key(即公钥)作为blob变量写入Git库,然后把它的内容直接写在标签里。gpg —list-keys命令可以显示出你所拥有的key:

    1. $ gpg --list-keys
    2. /Users/schacon/.gnupg/pubring.gpg
    3. ---------------------------------
    4. pub 1024D/F721C45A 2009-02-09 [expires: 2010-02-09]
    5. uid Scott Chacon <schacon@gmail.com>
    6. sub 2048g/45D02282 2009-02-09 [expires: 2010-02-09]

    然后,导出key的内容并经由管道符传递给git hash-object,之后钥匙会以blob类型写入Git中,最后返回这个blob量的SHA-1值:

    1. $ gpg -a --export F721C45A | git hash-object -w --stdin
    2. 659ef797d181633c87ec71ac3f9ba29fe5775b92

    现在你的Git已经包含了这个key的内容了,可以通过不同的SHA-1值指定不同的key来创建标签。

    1. $ git tag -a maintainer-pgp-pub 659ef797d181633c87ec71ac3f9ba29fe5775b92

    在运行git push —tags命令之后,maintainer-pgp-pub标签就会公布给所有人。如果有人想要校验标签,他可以使用如下命令导入你的key:

    1. $ git show maintainer-pgp-pub | gpg --import

    人们可以用这个key校验你签名的所有标签。另外,你也可以在标签信息里写入一个操作向导,用户只需要运行git show <tag>查看标签信息,然后按照你的向导就能完成校验。

    生成内部版本号

    因为Git不会为每次提交自动附加类似'v123'的递增序列,所以如果你想要得到一个便于理解的提交号可以运行git describe命令。Git将会返回一个字符串,由三部分组成:最近一次标定的版本号,加上自那次标定之后的提交次数,再加上一段所描述的提交的SHA-1值:

    1. $ git describe master
    2. v1.6.2-rc1-20-g8c5b85c

    这个字符串可以作为快照的名字,方便人们理解。如果你的Git是你自己下载源码然后编译安装的,你会发现git —version命令的输出和这个字符串差不多。如果在一个刚刚打完标签的提交上运行describe命令,只会得到这次标定的版本号,而没有后面两项信息。

    git describe命令只适用于有标注的标签(通过-a或者-s选项创建的标签),所以发行版的标签都应该是带有标注的,以保证git describe能够正确的执行。你也可以把这个字符串作为checkout或者show命令的目标,因为他们最终都依赖于一个简短的SHA-1值,当然如果这个SHA-1值失效他们也跟着失效。最近Linux内核为了保证SHA-1值的唯一性,将位数由8位扩展到10位,这就导致扩展之前的git describe输出完全失效了。

    准备发布

    现在可以发布一个新的版本了。首先要将代码的压缩包归档,方便那些可怜的还没有使用Git的人们。可以使用git archive

    1. $ git archive master --prefix='project/' | gzip > `git describe master`.tar.gz
    2. $ ls *.tar.gz
    3. v1.6.2-rc1-20-g8c5b85c.tar.gz

    这个压缩包解压出来的是一个文件夹,里面是你项目的最新代码快照。你也可以用类似的方法建立一个zip压缩包,在git archive加上—format=zip选项:

    1. $ git archive master --prefix='project/' --format=zip > `git describe master`.zip

    现在你有了一个tar.gz压缩包和一个zip压缩包,可以把他们上传到你网站上或者用e-mail发给别人。

    制作简报

    是时候通知邮件列表里的朋友们来检验你的成果了。使用git shortlog命令可以方便快捷的制作一份修改日志(changelog),告诉大家上次发布之后又增加了哪些特性和修复了哪些bug。实际上这个命令能够统计给定范围内的所有提交;假如你上一次发布的版本是v1.0.1,下面的命令将给出自从上次发布之后的所有提交的简介:

    1. $ git shortlog --no-merges master --not v1.0.1
    2. Chris Wanstrath (8):
    3. Add support for annotated tags to Grit::Tag
    4. Add packed-refs annotated tag support.
    5. Add Grit::Commit#to_patch
    6. Update version and History.txt
    7. Remove stray `puts`
    8. Make ls_tree ignore nils
    9. Tom Preston-Werner (4):
    10. fix dates in history
    11. dynamic version method
    12. Version bump to 1.0.2
    13. Regenerated gemspec for version 1.0.2

    这就是自从v1.0.1版本以来的所有提交的简介,内容按照作者分组,以便你能快速的发e-mail给他们。