- 6.6. 通过时间反向传播
- 6.6.1. 定义模型
- 6.6.2. 模型计算图
- 6.6.3. 方法
- 6.6.4. 小结
- 6.6.5. 练习
6.6. 通过时间反向传播
如果读者做了上一节的练习,就会发现,如果不裁剪梯度,模型将无法正常训练。为了深刻理解这一现象,本节将介绍循环神经网络中梯度的计算和存储方法,即通过时间反向传播(back-propagationthrough time)。
我们在“正向传播、反向传播和计算图”一节中介绍了神经网络中梯度计算与存储的一般思路,并强调正向传播和反向传播相互依赖。正向传播在循环神经网络中比较直观,而通过时间反向传播其实是反向传播在循环神经网络中的具体应用。我们需要将循环神经网络按时间步展开,从而得到模型变量和参数之间的依赖关系,并依据链式法则应用反向传播计算并存储梯度。
6.6.1. 定义模型
简单起见,我们考虑一个无偏差项的循环神经网络,且激活函数为恒等映射(
)。设时间步
的输入为单样本
,标签为
,那么隐藏状态
的计算表达式为
其中
和
是隐藏层权重参数。设输出层权重参数
,时间步
的输出层变量
计算为
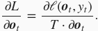
设时间步
的损失为
。时间步数为
的损失函数
定义为
我们将
称为有关给定时间步的数据样本的目标函数,并在本节后续讨论中简称为目标函数。
6.6.2. 模型计算图
为了可视化循环神经网络中模型变量和参数在计算中的依赖关系,我们可以绘制模型计算图,如图6.3所示。例如,时间步3的隐藏状态
的计算依赖模型参数
、
、上一时间步隐藏状态
以及当前时间步输入
。
图 6.3 时间步数为3的循环神经网络模型计算中的依赖关系。方框代表变量(无阴影)或参数(有阴影),圆圈代表运算符
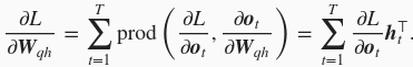
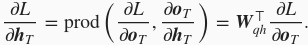
6.6.3. 方法
刚刚提到,图6.3中的模型的参数是
、
和
。与“正向传播、反向传播和计算图”一节中的类似,训练模型通常需要模型参数的梯度
、
和
。根据图6.3中的依赖关系,我们可以按照其中箭头所指的反方向依次计算并存储梯度。为了表述方便,我们依然采用“正向传播、反向传播和计算图”一节中表达链式法则的运算符prod。
首先,目标函数有关各时间步输出层变量的梯度
很容易计算:
下面,我们可以计算目标函数有关模型参数
的梯度
。根据图6.3,
通过
依赖
。依据链式法则,
其次,我们注意到隐藏状态之间也存在依赖关系。在图6.3中,
只通过
依赖最终时间步
的隐藏状态
。因此,我们先计算目标函数有关最终时间步隐藏状态的梯度
。依据链式法则,我们得到
接下来对于时间步
,在图6.3中,
通过
和
依赖
。依据链式法则,目标函数有关时间步
的隐藏状态的梯度
需要按照时间步从大到小依次计算:
将上面的递归公式展开,对任意时间步
,我们可以得到目标函数有关隐藏状态梯度的通项公式
由上式中的指数项可见,当时间步数
较大或者时间步
较小时,目标函数有关隐藏状态的梯度较容易出现衰减和爆炸。这也会影响其他包含
项的梯度,例如隐藏层中模型参数的梯度
和
。在图6.3中,
通过
依赖这些模型参数。依据链式法则,我们有
我们已在“正向传播、反向传播和计算图”一节里解释过,每次迭代中,我们在依次计算完以上各个梯度后,会将它们存储起来,从而避免重复计算。例如,由于隐藏状态梯度
被计算和存储,之后的模型参数梯度
和
的计算可以直接读取
的值,而无须重复计算它们。此外,反向传播中的梯度计算可能会依赖变量的当前值。它们正是通过正向传播计算出来的。举例来说,参数梯度
的计算需要依赖隐藏状态在时间步
的当前值
(
是初始化得到的)。这些值是通过从输入层到输出层的正向传播计算并存储得到的。
6.6.4. 小结
- 通过时间反向传播是反向传播在循环神经网络中的具体应用。
- 当时间步数较大或者时间步较小时,循环神经网络的梯度较容易出现衰减或爆炸。
6.6.5. 练习
- 除了梯度裁剪,你还能想到别的什么方法应对循环神经网络中的梯度爆炸?