• 场景(Scene)
    • 场景图(Scene Graph)

    场景(Scene)

    在游戏开发过程中,你可能需要一个主菜单,几个关卡和一个结束场景。如何组织所有这些分开的部分?使用 场景(Scene) !当你想到喜欢的电影时,你能观察到它是被分解为不同场景或不同故事线。现在我们对游戏开发应用这个相同的思维过程,你应该很容易就能想出几个场景。

    来看一张熟悉的图片:

    场景(Scene)  - 图1

    这是一个主菜单场景,这个场景是由很多小的对象拼接而成,所有的对象组合在一起,形成了最终的结果。场景是被 渲染器(renderer) 画出来的。渲染器负责渲染精灵和其它的对象进入屏幕。为了更好的理解这个过程,我们需要讨论一下 场景图

    场景图(Scene Graph)

    场景图(Scene Graph)是一种安排场景内对象的数据结构,它把场景内所有的 节点(Node) 都包含在一个 树(tree) 上。(场景图虽然叫做"图",但实际使用一个树结构来表示)。

    场景(Scene)  - 图2

    听起来这好像很复杂,可能你会问,我为什么要关注这个技术细节,Cocos2d-x 值得我研究的这么深入吗?值得!这个对你真正了解渲染器是如何绘制场景的非常重要。

    当你开发游戏的时候,你会添加一些节点,精灵和动画到一个场景中,你期望的是每一个添加的对象都能被正确的展示,可是如果有个对象没有被展示呢?可能你错误的把这个对象隐藏到背景中了。怎么办?别着急,这是个小问题,停下来,拿出一张纸,把场景图画出来,你肯定能很容易的发现错误。

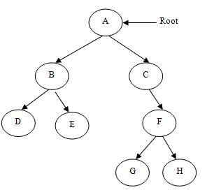
    既然场景图是一个树结构,你就能遍历它,Cocos2d-x 使用 中序遍历,先遍历左子树,然后根节点,最后是右子树。中序遍历下图的节点,能得到 A, B, C, D, E, F, G, H, I 这样的序列。

    场景(Scene)  - 图3

    初步了解了场景图,让我们看一下这个游戏场景。

    场景(Scene)  - 图4

    分解这个场景,看一下它有哪些元素,这些最终会被渲染为一个树。

    场景(Scene)  - 图5

    另一点要考虑的是,z-order 为负的元素,z-order 为负的节点会被放置在左子树,非负的节点会被放在右子树。实际开发的过程中,你可以按照任意顺序添加对象,他们会按照你指定的 z-order 自动排序。

    场景(Scene)  - 图6

    如上图,左侧的场景是由很多节点对象组成的,他们根据被指定的 z-order 相互叠加。在 Cocos2d-x 中,通过 SceneaddChild() 方法构建场景图.

    1. // Adds a child with the z-order of -2, that means
    2. // it goes to the "left" side of the tree (because it is negative)
    3. scene->addChild(title_node, -2);
    4. // When you don't specify the z-order, it will use 0
    5. scene->addChild(label_node);
    6. // Adds a child with the z-order of 1, that means
    7. // it goes to the "right" side of the tree (because it is positive)
    8. scene->addChild(sprite_node, 1);

    渲染时 z-order 值大的节点对象会后绘制,值小的节点对象先绘制。如果两个节点对象的绘制范围有重叠,z-order 值大的可能会覆盖 z-order 值小的。