• 最后一个公式:余弦相似度
    • 应该使用哪种相似度?
    • 古怪的现象
    • K最邻近算法

    最后一个公式:余弦相似度

    这里我将奉上最后一个公式:余弦相似度。它在文本挖掘中应用得较多,在协同过滤中也会使用到。

    为了演示如何使用该公式,我们换一个示例。这里记录了每个用户播放歌曲的次数,我们用这些数据进行推荐:

    最后一个公式:余弦相似度 - 图1

    简单扫一眼上面的数据(或者用之前讲过的距离计算公式),我们可以发现Ann的偏好和Sally更为相似。

    问题在哪儿?

    我在iTunes上有大约4000首歌曲,下面是我最常听的音乐:

    最后一个公式:余弦相似度 - 图2

    可以看到,Moonlight Sonata这首歌我播放了25次,但很有可能你一次都没有听过。

    事实上,上面列出的这些歌曲可能你一首都没听过。此外,iTunes上有1500万首音乐,而我只听过4000首。所以说单个用户的数据是 稀疏 的,因为非零值较总体要少得多。

    当我们用1500万首歌曲来比较两个用户时,很有可能他们之间没有任何交集,这样一来就无从计算他们之间的距离了。

    最后一个公式:余弦相似度 - 图3

    类似的情况是在计算两篇文章的相似度时。

    比如说我们想找一本和《The Space Pioneers》相类似的书,方法之一是利用单词出现的频率,即统计每个单词在书中出现的次数占全书单词的比例,如“the”出现频率为6.13%,“Tom” 0.89%,“space” 0.25%。我们可以用这些数据来寻找一本相近的书。

    但是,这里同样有数据的稀疏性问题。《The Space Pioneers》中有6629个不同的单词,但英语语言中有超过100万个单词,这样一来非零值就很稀少了,也就不能计算两本书之间的距离。

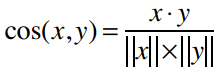
    余弦相似度的计算中会略过这些非零值。它的计算公式是:

    最后一个公式:余弦相似度 - 图4

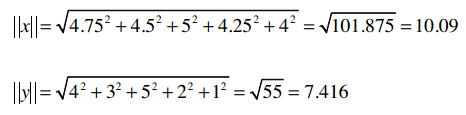
    其中,“·”号表示数量积。“||x||”表示向量x的模,计算公式是:

    最后一个公式:余弦相似度 - 图5

    我们用上文中“偏好完全一致”的示例:

    最后一个公式:余弦相似度 - 图6

    所以两个向量为:

    最后一个公式:余弦相似度 - 图7

    它们的模是:

    最后一个公式:余弦相似度 - 图8

    数量积的计算:

    最后一个公式:余弦相似度 - 图9

    因此余弦相似度是:

    最后一个公式:余弦相似度 - 图10

    余弦相似度的范围从1到-1,1表示完全匹配,-1表示完全相悖。所以0.935表示匹配度很高。

    作业:尝试计算Angelica和Veronica的余弦相似度

    应该使用哪种相似度?

    我们整本书都会探索这个问题,以下是一些提示:

    最后一个公式:余弦相似度 - 图11

    • 如果数据存在“分数膨胀”问题,就使用皮尔逊相关系数。
    • 如果数据比较“密集”,变量之间基本都存在公有值,且这些距离数据是非常重要的,那就使用欧几里得或曼哈顿距离。
    • 如果数据是稀疏的,则使用余弦相似度。

    所以,如果数据是密集的,曼哈顿距离和欧几里得距离都是适用的。那么稀疏的数据可以使用吗?我们来看一个也和音乐有关的示例:假设有三个人,每人都给100首音乐评过分。

    最后一个公式:余弦相似度 - 图12

    • Jake(左):乡村音乐的忠实听众。
    • Linda和Eric(右):我们爱六十年代的摇滚乐!

    Linda和Eric喜欢相同的音乐,他们的评分列表中有20首相同的的歌曲,且评分均值相差不到0.5!所以他们之间的曼哈顿距离为20 x 0.5 = 10,欧几里得距离则为:

    最后一个公式:余弦相似度 - 图13

    Linda和Jake只共同评分了一首歌曲:Chris Cagle的 What a Beautiful Day 。Linda打了3分,Jake打了5分,所以他们之间的曼哈顿距离为2,欧几里得距离为:

    最后一个公式:余弦相似度 - 图14

    所以不管是曼哈顿距离还是欧几里得距离,Jake都要比Eric离Linda近,这不符合实际情况。

    最后一个公式:余弦相似度 - 图15

    嘿,我想到一个办法。人们给音乐打分是从1到5分,那些没有打分的音乐就统一给0分好了,这样就能解决数据稀疏的问题了!

    想法不错,但是这样做也不行。为了解释这一问题,我们再引入两个人到例子里来:Cooper和Kelsey。他们和Jake都有着非常相似的音乐偏好,其中Jake在我们网站上评价了25首歌曲。

    最后一个公式:余弦相似度 - 图16

    Cooper评价了26首歌曲,其中25首和Jake是一样的。他们对每首歌曲的评价差值只有0.25!

    Kelsey在我们网站上评价了150首歌曲,其中25首和Jake相同。和Cooper一样,她和Jake之间的评价差值也只有0.25!

    所以我们从直觉上看Cooper和Keylsey离Jake的距离应该相似。但是,当我们计算他们之间的曼哈顿距离和欧几里得距离时(代入0值),会发现Cooper要比Keylsey离Jake近得多。

    为什么呢?

    我们来看下面的数据:

    最后一个公式:余弦相似度 - 图17

    从4、5、6这三首歌来看,两人离Jake的距离是相同的,但计算出的曼哈顿距离却不这么显示:

    最后一个公式:余弦相似度 - 图18

    问题就在于数据中的0值对结果的影响很大,所以用0代替空值的方法并不比原来的方程好。还有一种变通的方式是计算“平均值”——将两人共同评价过的歌曲分数除以歌曲数量。

    总之,曼哈顿距离和欧几里得距离在数据完整的情况下会运作得非常好,如果数据比较稀疏,则要考虑使用余弦距离。

    古怪的现象

    假设我们要为Amy推荐乐队,她喜欢Phoenix、Passion Pit、以及Vampire Weekend。和她最相似的用户是Bob,他也喜欢这三支乐队。他的父亲为Walter Ostanek乐队演奏手风琴,所以受此影响,他给了这支乐队5星评价。按照我们现在的推荐逻辑,我们会将这支乐队推荐给Amy,但有可能她并不喜欢。

    最后一个公式:余弦相似度 - 图19

    或者试想一下,Billy Bob Olivera教授喜欢阅读数据挖掘方面的书籍以及科幻小说,他最邻近的用户是我,因为我也喜欢这两种书。然而,我又是一个贵宾犬的爱好者,所以给《贵宾犬的隐秘生活》这本书打了很高的分。这样一来,现有的推荐方法会将这本书介绍给Olivera教授。

    最后一个公式:余弦相似度 - 图20

    问题就在于我们只依靠最相似的 一个 用户来做推荐,如果这个用户有些特殊的偏好,就会直接反映在推荐内容里。解决方法之一是找寻多个相似的用户,这里就要用到K最邻近算法了。

    K最邻近算法

    在协同过滤中可以使用K最邻近算法来找出K个最相似的用户,以此作为推荐的基础。不同的应用有不同的K值,需要做一些实验来得出。以下给到读者一个基本的思路。

    假设我要为Ann做推荐,并令K=3。使用皮尔逊相关系数得到的结果是:

    最后一个公式:余弦相似度 - 图21

    这三个人都会对推荐结果有所贡献,问题在于我们如何确定他们的比重呢?

    我们直接用相关系数的比重来描述,Sally的比重是0.8/2=40%,Eric是0.7/2=35%,Amanda则是25%:

    最后一个公式:余弦相似度 - 图22

    假设他们三人对Grey Wardens的评分以及加权后的结果如下:

    最后一个公式:余弦相似度 - 图23

    最后计算得到的分数为:

    最后一个公式:余弦相似度 - 图24